Skip to main content
📢 -40% on Recombinant Antibody Production. Available until November 16th on your first order. Code: RECAB40

Phage Display Custom Services

From
8900
< 2 months

Fast-Track Your Discovery with Leading-Edge Antibody Services

  • Antibodies in <2 Months”
  • First Cancer Immune Library”
  • 500+ Successful Projects

Contact us Talk to our experts


Facing challenges in monoclonal antibody development? Streamline your monoclonal antibody development with ProteoGenix’s phage display custom services and get your antibodies in less than 2 months. Our service tackles common challenges in antibody development, such as immunogenicity and the complex humanization process, by offering direct access to human monoclonal antibodies. Our offerings include the world’s first immune phage display library derived from human cancer patient donors, alongside our diverse naïve libraries featuring antibodies from various species in formats like Fab, scFv, or VHH. With ProteoGenix, you’re assured of strong guarantees, delivering at least three high-affinity binders, meticulously screened for your application of choice—be it ELISA, WB, or Flow Cytometry. Our expertise, highlighted by over 500 successful projects and highly diversified libraries, positions us as leaders in phage display technology for therapy, research, and diagnostics. Partner with us for innovative solutions that promise satisfaction and accelerate your project’s success.

Discover the first Human Cancer Phage Display Library

  • Huge diversity: 3.81×1010 (scFv) 3.72×1010(Fab)
  • 48 human donors with 7 different cancers: prostate, colorectal, renal,
    lung, skin, melanoma, acute myeloid leukemia
  • Ideal for Human Cancer Therapeutic Antibody Development

Discover Now

Why choose ProteoGenix’ antibody
phage display services?

Rapid Turnaround

Get your antibodies in <2 months.

Innovative Cancer Library

Utilize the world’s first immune library derived from cancer patients for targeted antibody discovery.

Binding Guaranteed

At least 3 high-affinity binders.

IP Freedom

Full intellectual property rights to the custom antibodies generated.

Proven Expertise

Benefit from our vast experience with over 500 successful phage display projects.

Accelerated Discovery

Pre-built libraries reduce time to discovery.

Library Diversity

Access to extensive Naïve libraries from various species and formats (Fab, scFv, VHH).

End-to-End Support

Comprehensive phage display screening services from initial screening through to antibody development and production.

Quality Assurance

Exceptional in-frame frequency (>93%) ensures reliable and effective antibody discovery.

PhD-Level Support

Expert guidance from PhD account managers, ensuring your project’s success with informed decision-making.

DATA REPORT

Get free access to genuine, representative data
from a Phage Display Human scFv Lib project

An ideal example of the insights you can expect from this type of report

This comprehensive report includes:

  • A full set of detailed data
  • Advanced tests and results
  • Key insights at every step of the process

 

Download the Data Report

Different applications of Phage Display custom services

 

Antibody Phage Display for Therapeutic Applications

In the realm of therapeutics, our phage display antibody services are designed to efficiently block or activate clinical targets. With the option of using naive or immune libraries, we provide tailored solutions for therapeutic antibody development, ensuring high diversity and developability within optimal timelines. Learn more about our therapeutic applications services.

 

Antibody Phage Display for Diagnostic applications

Our custom phage display services extend to diagnostic applications, where precision and specificity are paramount. Utilizing high-diversity camelid and rabbit libraries, we excel in minimizing off-target binding, enabling the development of reliable diagnostic tools with enhanced sensitivity and specificity. Explore our diagnostic applications services.

ProteoGenix’s Phage Display antibody library types

 

Naïve Antibody Library screening service with Phage Display

ProteoGenix harnesses the power of diverse high-quality naïve libraries for phage display custom services, enabling the discovery of antibodies across various formats (scFv, Fab, VHH) and species. Our ELISA-based screening ensures the identification of high-affinity binders, with 4 to 6 rounds of panning to secure the best candidates for your research needs. Explore our Naïve Library Screening Service.

 

Immune Antibody Library screening service with Phage Display

Our immune library service offers tailored construction and screening for unparalleled specificity and stability in antibody discovery. With library capacities reaching up to 10^16 different binders and the flexibility of scFv, Fab, and VHH formats, we ensure the identification of binders with optimal affinity through a meticulous biopanning process. After 3 to 5 rounds, we provide several high-affinity binders, with the option to expand the search if necessary. Discover our Immune Library Service.

Leveraging ProteoGenix’s phage display antibody development services ensure access to our proprietary libraries, which confer a unique competitive advantage since no other company has access to our banks, driving forward the discovery and development of groundbreaking antibodies for research, diagnostic, and therapeutic applications.

Case study: generation of an antibody cocktail against SARS-CoV-2

Project Description

Since Omicron became widespread, more and more treatments have been rendered ineffective against SARS-CoV-2. To provide timely solutions to this crisis, we partnered with Aseem Healthcare and Trident Biopharm Solutions to develop a new broadly neutralizing antibody cocktail.

After extensive testing, the cocktail proved not only to be active against major variants but also to outperform currently FDA and EMA approved and authorized treatments.

Project Workflow
Step 1 Immune COVID-19 Library Construction Milestone: scFv library diversity > 109
Step 2 Antibody Phage Display
  • Library enrichment via phage display using the receptor-binding domain (RBD) of SARS-CoV-2 variant Alpha
  • Identification of clones able to cross-react with all other major variants
  • Competitive ELISA using Alpha’s RBD and the human ACE2 receptor
Milestone: isolation of 9 cross-reactive + neutralizing binders
Step 3 Recombinant Expression
  • Fast recombinant expression in XtenCHO™ to characterize the bioactivity and stability of binders
Milestone: all but 1 binder displayed high activity and stability
Step 4 Testing for Neutralizing Activity Against Major Variants
  • Rapid screening using ProteoGenix’s SARS-CoV-2 Surrogate Virus Neutralization Test (sVNT) Kit
  • Validation of the bioactivity via Plaque Reduction Neutralization Tests (PRNT)
  • Milestone: identification of 4 mAbs with strong neutralizing activity against all variants

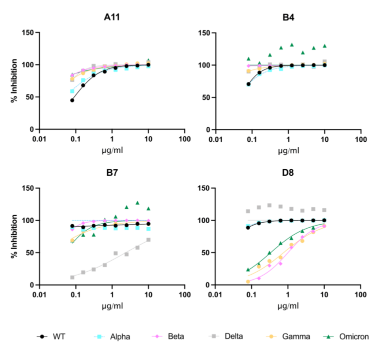
Results Of Sars-cov-2 Neutralization Tests

Inhibition Cocktail Results
Inhibition (%) of major variants of SARS-CoV-2 by each individual antibody of the AH-5-COV cocktail determined via PRNT test
Variant/ mAb England 02/2020 Alpha Beta Gamma Gamma Omicron
A5 0.06599 0.03245 0.1790 0.1693 0.1693 No inhibition
A9 6.641 4.864 6.719 18.72 18.72 No inhibition
A11 0.09098 0.04757 0.01510 0.02326 0.02326 0.005713
B4 0.04742 0.03678 > 0.08* 0.006945 0.006945 > 0.08*
B7 > 0.08* > 0.08* 0.02949 0.01878 0.01878 0.04936
B9 0.2141 0.2494 No inhibition No inhibition No inhibition No inhibition
D8 0.01964 0.01326 1.008 0.7628 > 0.08* 0.3364
G4 0.2273 0.05904 0.4028 0.2017 0.07378 No inhibition
Positive control 0.3602 0.3815 0.4183 0.3505 0.3634 No inhibition
Negative control No inhibition No inhibition No inhibition No inhibition No inhibition No inhibition

EC50 values for each antibody tested at the concentration (μg/ml) at which 50% of the infection is neutralised. > 0.08*: The EC50 value could not be determined or extrapolated, due to maximal inhibition (close to 100%) maintained at the lowest tested concentration (0.08μg/ml). Shaded cells: More than 50% inhibition was observed even at the highest dilution.

Testimonials

Satisfied antibody phage display customer

“All three of the antibodies you delivered were reformatted into IgGs and worked well. Interestingly two were d1 binders, and one was a d1/d2 binder when we domain mapped them here. They were good “protein X” blocking antibodies. But none were “protein Y” blockers. They express reasonably well. Overall we are quite happy with them.”

Senior scientist at aTyr Pharma, USA

“ProteoGenix has been generous and sincere in supporting an academic laboratory like ours. They were able to identify several antibody sequences via phage display against a protein antigen and they screened twice more phages than initially planned to help us succeed in our project. ProteoGenix team was reactive and diligent in their replies and services.”

Alvin Chew, Research Fellow, Nanyang Technological University, Singapore

“I requested ProteoGenix’s services for the generation of antibodies against a malarial protein by phage display. Their naive human library, which is comprised of 368 donors, is a unique resource which was one of the criteria I used to select their company. They optimized their standard screening strategy to be able to identify two specific clones, that they then expressed with very high yields in their proprietary XtenCHOTM cell line. I highly appreciated their level of expertise and their commitment to go beyond expectations, and I would recommend them for their reactivity and the high quality of their services.”

Prof Jonathan Kurtis, MD, PhD, Chair, Department of Pathology and Laboratory Medicine, Brown University, USA

“We requested ProteoGenix’s services for the development of a monoclonal antibody for flow cytometry. They were able to identify three candidates that all bound well and specifically to our antigen. The best one was validated in our final application and the results were published in an international journal. We were overall satisfied with the quality of the final product and its results.”

Dr Lorena Arranz, Group Leader, UiT the Arctic University of Norway, Tromsø – NCMM Associate Investigator – SFF Center Director

“We have been working together with ProteoGenix since 2020. Using phage display, they helped our team to develop several antibodies with effective blocking effects. We are pleased with their services and look forward to continue working together with them as we advance our research and bring the biologics to clinical stage.”

Prof Johnny Ong Chin-Ann, MD, PhD, Group leader, National Cancer Centre, Singapore

“Our collaboration with ProteoGenix focused on the generation of specific monoclonal antibodies directed towards a mammalian cell surface protein. The antibodies developed exhibited very high affinity and performed in cell-based functional assays. This data propelled us towards advancing into pre-clinical in vivo and human work for the refinement and development of a potent biologic reagent. The invaluable technical and scientific guidance along with the expertise and support provided by our liaison at ProteoGenix played a pivotal role in the collaboration and advancing our translational research.”

Markella Ponticos – Professor at University College London

Phage Display Antibody screening in different species

 

Human

Elevate your therapeutic antibody development with ProteoGenix’s human naïve antibody libraries: LiAb-SFMAX™, LiAb-SFa™, and LiAb-Fab™. These libraries are at the heart of our phage display custom services, offering an unparalleled resource for discovering human antibodies with exceptional specificity and affinity. Designed to streamline the path to innovative therapeutics, our libraries empower researchers to uncover antibodies that can be seamlessly integrated into therapeutic applications without the need for humanization. With ProteoGenix’s expertise in phage display antibody engineering services, you gain access to a treasure trove of antibody candidates ideal for addressing a wide range of human diseases. Explore the potential of our Human Naïve Antibody Libraries and harness the power of precision-engineered antibodies to advance your therapeutic projects.

 

 Cancer Human Immune Antibody Library: LiAb-SFCANCERTM

Discover ProteoGenix’s LiAb-SFCANCERTM, the first-of-its-kind Cancer Immune Library, revolutionizing the fight against cancer. Sourced from 48 patients across 7 cancer types, including Prostate, Colorectal, Renal, Lung, Skin Cancer, Melanoma, and Acute Myeloid Leukemia, our library offers unparalleled access to over 3.81×10¹⁰ scFv and 3.72×10¹⁰ Fab clones. Tailored for researchers and innovators, our phage display custom services are designed to fast-track the development of innovative cancer diagnostics and therapeutics. By providing a unique glimpse into the human immune response to cancer, our library not only accelerates your research but also paves the way for next-generation cancer treatments. Explore the vast possibilities with the LiAb-SFCANCERTM Library and make a significant impact in oncology.

 

Autoimmune Human Immune Antibody Library: LiAb-SFAUTOIMMTM

Discover ProteoGenix’s LiAb-SFAUTOIMMTM, the pioneering Autoimmune Antibody Phage Display Library, setting new standards in autoimmune disease research. Sourced from 42 patients across 7 autoimmune diseases, including Sjogren’s Syndrome, Psoriasis, Psoriatic Arthritis, Rheumatoid Arthritis, Systemic Lupus Erythematosus, Crohn’s Disease, and Ulcerative Colitis, our library grants exclusive access to over 1.08×10¹¹ scFv and 1.06×10¹¹ Fab clones. Designed for researchers and innovators, our phage display custom services are engineered to expedite the discovery and development of novel diagnostics and therapeutics for autoimmune diseases. Offering a deep dive into the human immune response to autoimmunity, the LiAb-SFAUTOIMMTM Library not only accelerates your research endeavors but also charts the course for the next generation of autoimmune treatments. Embrace the extensive possibilities with the LiAb-SFAUTOIMMTM Library and contribute to transformative advances in autoimmune disease management.

 

COVID-19 Human Immune Antibody Library: LiAb-SFCOVID-19™

Amidst the ongoing fight against COVID-19, ProteoGenix stands at the forefront with our specialized COVID-19 Antibody Library. Designed to meet the urgent needs of researchers worldwide, our library streamlines the discovery of precise, high-affinity antibodies against SARS-CoV-2. Whether you’re developing rapid diagnostics, exploring therapeutic options, or crafting effective vaccines, our custom phage display services are your ally. Harness the power of our COVID-19 Antibody Library to fast-track your projects and contribute to global health solutions with confidence and clarity. Join us in this critical mission and leverage our expertise for your COVID-19 research endeavors.

 

Mouse

ProteoGenix excels in mouse monoclonal antibody development through our sophisticated phage display services, leveraging the mouse’s immune system for comprehensive antibody discovery. Our mouse phage display screening services are engineered to rapidly identify and produce high-affinity, highly specific antibodies, crucial for advancing research, diagnostic, and therapeutic projects. By combining state-of-the-art technology with deep expertise, we offer a seamless pathway from antigen selection to the delivery of functional mouse antibodies, ensuring each project benefits from antibodies with optimal specificity and efficacy. This service is ideal for researchers looking to harness the well-characterized mouse immune system for the generation of monoclonal antibodies that can be further humanized for therapeutic applications. Explore the possibilities with our Mouse Monoclonal Antibody Development services and accelerate your path to discovery.

 

Rabbit

Rabbit monoclonal antibodies are known for their high affinity and specificity, making them a powerful tool in diagnostic applications. ProteoGenix leverages phage display screening services to develop rabbit monoclonal antibodies tailored to your research needs. Explore Rabbit Monoclonal Antibody Production.

 

Dog

ProteoGenix offers specialized phage display services for dog monoclonal antibody development, tapping into the unique canine immune system for precise antibody discovery. Our dog library phage display service efficiently identifies antibodies with high specificity and affinity, tailored for veterinary research and potential diagnostics uses. Embrace the advantages of our Dog Library for Phage Display to enhance your canine-focused projects.

 

Cat

ProteoGenix leads in custom cat monoclonal antibody development with our phage display services, specifically designed for feline research needs. Our cat antibody phage display service promises the delivery of three novel antibodies, verified to bind your target in under 7 weeks. We ensure the highest diversity and affinity for pinpointing the ideal antibody for research, diagnostic, or therapeutic applications in cats. This species-specific strategy is essential for precision in feline disease research and treatment, providing unmatched accuracy and reduced immunogenicity for therapeutic use in cats. Explore our Cat Monoclonal Antibody Services.

 

Camelid

ProteoGenix offers advanced nanobody production services using camelids, exploiting their unique immune system to produce nanobodies with high specificity and stability. Camelid antibodies, due to their small size and unique structure, are ideal for targeting difficult-to-reach antigens, offering promising avenues for both anti-cancer therapies and anti-infectious treatments. Learn more about our Camelid Nanobody Production.

 

Pig

ProteoGenix expands its phage display capabilities to pig monoclonal antibody development, capitalizing on the unique immune response of pigs. This approach is not arbitrary; pigs are genetically similar to humans, sharing a comparable immune system and organ sizes, making them ideal models for biomedical research. This similarity allows for the discovery of antibodies with exceptional specificity and affinity, crucial for advancing research, diagnostics, and therapeutics across both veterinary and human medicine. Our pig phage display service is specifically designed to rapidly generate high-quality antibodies, suitable for a wide array of applications. By exploring our Pig Phage Display Services, researchers unlock new avenues in swine health and contribute valuable insights into human biomedical research, bridging gaps in understanding and treatment of complex diseases.

 

Results Of Sars-cov-2 Neutralization Tests

Phage Display Antibody screening in different formats

 

VHH

Unlock the potential of camelid antibodies with ProteoGenix’s VHH screening service. VHH, or nanobodies, are distinguished by their small size, high stability, and exceptional tissue penetration capabilities, making them ideal for therapeutic, diagnostic, and research applications. A significant advantage of these single-domain antibodies is their unique ability to access and bind to cryptic epitopes that are typically inaccessible to conventional antibodies. This characteristic is particularly valuable in developing highly specific and effective treatments and diagnostics. Our VHH phage display custom services leverage these attributes for their exceptional specificity and affinity. Explore the transformative power of our VHH Screening Service and harness the versatility of nanobodies in your projects, taking advantage of their unparalleled precision in targeting hidden aspects of disease pathology.

scFv

ProteoGenix’s scFv phage display services provide a flexible and effective approach to antibody discovery. Single-chain variable fragments (scFv) combine the variable regions of heavy and light chains with a short peptide linker, offering a compact format that retains the antigen-binding specificity of conventional antibodies. Our scFv phage display screening services are designed to rapidly identify high-affinity scFvs for a wide range of applications. Discover the potential of our scFv Phage Display Service to accelerate your antibody development process.

Fab

Experience the advantages of fragment antigen-binding (Fab) antibodies with ProteoGenix’s Fab phage display screening. Fabs, consisting of a light chain and part of a heavy chain, offer an ideal balance between size and functionality, providing excellent antigen specificity without the Fc region. This makes them suitable for diagnostic applications where avoiding Fc-mediated effects is crucial. Our Fab phage display custom services are tailored to identify Fabs with high specificity and affinity, streamlining the path to discovery. Explore our Fab Phage Display Screening Service for your next project.

Results Of Sars-cov-2 Neutralization Tests

Phage Display Ab screening FAQ

Phage Display: General questions

ProteoGenix’s Phage Display Platform

More Antibody Discovery and Expression services

Need a quote or more information? Contact us!

    Cart (0 Items)

    Your cart is currently empty.

    View Products